Netherlands Centre for Coastal Research

BoA-2024

R.W.A. Siemes1*, T.M. Duong1,2,3, B.W. Borsje1, S.J.M.H. Hulscher1

1 University of Twente, Netherlands; 2 IHE Delft Institute for Water Education, Netherlands; 2 Deltares, Netherlands

* Corresponding author: r.w.a.siemes@utwente.nl

Introduction

In estuaries, fresh- and saltwater meet. The resulting salt intrusion (SI) processes are of importance for various estuarine functions. Freshwater availability in these regions can be limited during low river flows or storm surges due to which the SI-length temporarily increases. Besides, the stratification (i.e. the vertical difference in salinity) affects estuarine ecosystem functioning and species diversity (Attrill, 2002; Van Diggelen & Montagna, 2016). An increase in stratification also affects sediment dynamics, promoting trapping of sediments in estuaries (Burchard et al., 2018).

In estuaries worldwide, intertidal wetlands are reclaimed for human use (e.g. agriculture). However, they are also increasingly recognised for their various eco-system services, giving rise to wetland restoration projects. This has prompted questions into the influence of intertidal wetlands on salt intrusion (SI) processes. Modelling studies have shown that wetland drowning and wetland reclamation increase the SI-length of the Whidbey Basin and Changjiang Estuary (Yang & Wang, 2015; Lyu & Zhu, 2018). Hendrickx et al. (2023) showed that an increase in intertidal wetland area can place an upper limit on the SI-length. However, there remains a limited process-based understanding of the impact of wetlands on salt intrusion.

Objective and Methods

This work aims to improve our understanding of how changes in wetland geometry affect SI-processes. A schematised 3D hydrodynamic model is developed using the Delft3D-FM software (DFM). Model conditions are based on the Rotterdam Waterway, the Netherlands, representing a highly engineered estuary with SI processes reflecting a partially mixed to a salt-wedge regime, depending on temporal hydrodynamic conditions.

The model is validated for present-day conditions, after which various scenarios are implemented, representing changes in 1) intertidal wetland width, i.e. wetland reclamation or restoration, 2) relative SLR in the wetland and 3) channel depth of the estuary, as channels are deepened worldwide to improve port navigability, which alters the dominant SI-processes. For these scenarios, a constant low river discharge and a constant tidal signal (M2 + M4 + M6) are used.

The modelled salt transport is decomposed into 3 components following Garcia et al. (2021), to improve process-based understanding. The components represent 1) the salt flux related to the residual flow (Fres), the depth-averaged and tide-averaged component, 2) the salt flux related to the estuarine circulation (Fcirc), which is the depth-varying and tide-averaged component and 3) the salt flux related to the tidal oscillation (Ftide), which includes all tide-varying components.

Results

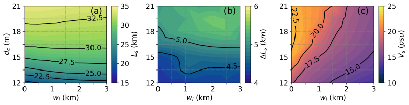
Generally, salt transport into the estuary comes from Fcirc  and Ftide, while salt export out of the estuary is attributed to Fres. An increase in wetland width and relative sea level rise (SLR) in the wetland increases the tidal prism of estuaries, thereby enhancing the tidal flow. Consequently, this results in a suppression of the stratification in the estuary (Figure c), weakening the estuarine circulation flow.

Widening of the wetland and relative SLR in the wetland consistently reduce Fcirc and increase Ftide. In strongly stratified estuaries, the reduction in Fcirc  outweighs the increase in Ftide, resulting in a decrease in salt transport into the estuary and subsequently a slight reduction in the SI-length. When the estuary is more mixed, the contribution of Fcirc becomes negligible and the increase in Ftide is dominant. In such a system, the increase in tidal prism enhances salt import into the estuary, consequently leading to a small increase in the SI-length (Figure a).

As such, results highlight that intertidal wetland geometry can play a minor role in changing the SI-length (Figure a). However, wetlands play a substantial role in the system's degree of stratification (Figure c), relevant for ecological functioning and sedmiment trapping in estuaries.

The impact of channel depth (dc) and intertidal wetland width (wi) on the salt intrusion length (Ls, a), the variation in salt intrusion length over a tidal cycle (ΔLs, b) and the stratification in the inlet of the estuary (Vs, c), during a low discharge event.

The impact of channel depth (dc) and intertidal wetland width (wi) on the salt intrusion length (Ls, a), the variation in salt intrusion length over a tidal cycle (ΔLs, b) and the stratification in the inlet of the estuary (Vs, c), during a low discharge event.

References

Attrill, M. J. (2002). A testable linear model for diversity trends in estuaries. Journal of Animal Ecology, 71 (2), 262-269. doi: https://doi.org/10.1046/j.1365-2656.2002.00593

Van Diggelen, A. D., & Montagna, P. A. (2016). Is salinity variability a benthic disturbance in estuaries? Estuaries and Coasts, 39 , 967–980. doi: 10.1007/s12237-015-0058-9

Burchard, H., Schuttelaars, H. M., & Ralston, D. K. (2018). Sediment trapping in estuaries. Annual Review of Marine Science, 10 (1), 371-395. doi: 10.1146/annurev-marine-010816-060535

Yang, Z., & Wang, T. (2015). Responses of estuarine circulation and salinity to the loss of intertidal flats – a modeling study. Continental Shelf Research, 111, 159-173. https://doi.org/10.1016/j.csr.2015.08.011

Lyu, H., & Zhu, J. (2018). Impacts of Tidal Flat Reclamation on Saltwater Intrusion and Freshwater Resources in the Changjiang Estuary. Journal of Coastal Research, 35 (2), 314-321. doi: 10.2112/JCOASTRES-D-18-00077.1

Hendrickx, G. G., Kranenburg, W. M., Antol ́ınez, J. A., Huismans, Y., Aarninkhof, S. G., & Herman, P. M. (2023). Sensitivity of salt intrusion to estuary-scale changes: A systematic modelling study towards nature-based mitigation measures. Estuarine, Coastal and Shelf Science, 295 , 108564. doi:https://doi.org/10.1016/j.ecss.2023.108564

Garcia, A. M. P., Geyer, W. R., & Randall, N. (2021). Exchange flows in tributary creeks enhance dispersion by tidal trapping. Estuaries and Coasts, 1–19. doi: https://doi.org/10.1007/s12237-021-00969-4