F.P. de Wit 1*, A. Kroon 1,2, L. Spaans 1
1 SvaĊĦek Hydraulics; 2 Delft University of Technology
*corresponding author:
Introduction
Studies involving detailed wave-resolving models gained substantial popularity over the past decade. The main advantage of such models is that more physical processes, such as nonlinear wave dynamics and wave breaking, are intrinsically resolved by the model equations. They are for instance applied to determine wave runup on beaches, wave overtopping over coastal structures (e.g., using SWASH) and to assess storm-induced dune erosion (e.g., using XBeach). Despite the more accurate representation of the physics, a downside of such models is the deterministic nature of the models. As the phases of each wave component are randomly picked by the offshore wavemaker, the spatial model results are a single realisation of this specific random phasing. Consequently, different random phases result in a spatially different outcome, thereby introducing a range of uncertainty. Recently, Rutten et al. (2021) showed that the uncertainty associated with the random phasing for the specific case of extreme wave runup is up to 31%. So, the results of a single model simulation can be either an under- or overestimation, which is undesirable for engineering purposes. Therefore, this study quantifies the uncertainty for a broad range of hydrodynamic and morphodynamic model results and proposes a future solution to reduce this.
Method and results
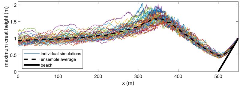
Three different 1D cases are simulated: 1) wave dynamics over a coastal profile with SWASH; 2) wave reflection and overtopping against a seawall with SWASH; and 3) dune erosion during a storm using XBeach Surfbeat. Stochastic model results are obtained by ensemble-averaging the outcome of 100 simulations with different random phasing.
The uncertainty in hydrodynamic (e.g., infragravity wave height, overtopping, wave shape, max crest height) and morphodynamic results (e.g., beach profile, bar height and dune erosion) is quantified by comparing the individual model simulation results to the ensemble-averaged results. As an example, Figure 1 shows the uncertainty of the maximum wave crest height along a coastal profile.

Figure 1: Deterministic variability in maximum wave crest height along a coastal profile.
Discussion and outlook
The design of for instance a seawall crest height, scour protection stability or wind farm foundation can be supported using SWASH results. Additionally, in The Netherlands dune safety is assessed using the XBeach Surfbeat model. Hence, obtaining reliable stochastic results from these deterministic models is of high importance. Therefore, a new development will be proposed to adapt the random phasing of the wavemaker to reduce future model uncertainty.
References
Rutten, J., Torres-Freyermuth, A., & Puleo, J. A. (2021). Uncertainty in runup predictions on natural beaches using XBeach nonhydrostatic. Coastal Engineering, 166, 103869.
I. Surname1*, F.N. Another-Surname2 , Y. Next-Surname2
1 University Name, Country; 2 Organization Name, Country
* Corresponding author: mail.name@organization.org


