Netherlands Centre for Coastal Research

BoA-2023

A. Colina Alonso1,2*, D.S. van Maren3,2, R.J.A. van Weerdenburg2, Y. Huismans1,2, Z.B. Wang1,2

1 TU Delft; 2 Deltares; 3 SKLEC

*corresponding author: This email address is being protected from spambots. You need JavaScript enabled to view it.

Human interventions and climate change are progressively influencing the state of coastal systems. Especially climate change impacts coastal evolution over long time scales, and such long-term changes are typically studied and forecasted using highly schematised low-complexity models. Initially, these studies focused on the dynamics of sandy coasts only. Later, follow-up studies were extended with mud-sized sediment to improve the prediction of large-scale delta evolution. Herein, sand and mud were largely treated as independent fractions, despite overwhelming evidence that the sediment dynamics of sand and mud is mutually coupled.

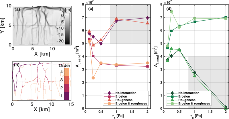
In this research we aim at a better understanding of the effects of including abiotic small-scale sand-mud interaction on modelled large-scale morphodynamics of tidal basins. We study long-term tidal basin evolution with a schematised model inspired by the basins in the Dutch Wadden Sea, in which two sand-mud interaction mechanisms (erosion- and roughness interaction, Colina Alonso et al., submitted) have been implemented. Our results show that sand-mud interaction substantially impacts tidal basin evolution. Channel patterns, intertidal flat shape and size, and sediment composition widely vary with mud erodibility settings, but equally with the considered interaction mechanisms (see Figure 1). Including sand-mud interaction in morphodynamic models provides a better representation of the physical processes and it may consequentially be used to optimise the morphodynamic model evolution.

An important limitation of schematised model configurations (such as the one that we use) is the difficulty to relate simplified model layouts to the real world. This introduces the key challenge on how to capture the fundamental aspects of real-world systems in low complexity models, and how to quantitatively validate the schematised model performance. We therefore introduce metrics describing the morphology in data and model results, such that they can be compared (see e.g., Figure 1 b-d). We strongly advocate the use of such morphological validation metrics as part of future work.

5921acf9baed5de4.png

Figure 1: (a) Modelled basin evolution for 1 sand-mud interaction scenario. (b) Extracted reversed Strahler Order of the channel patterns for further analysis. (c-d) Development of the sandy and muddy intertidal areas, depending on the sand-mud interaction settings.

References

Colina Alonso, A., van Maren, D. S., van Weerdenburg, R. J. A., Huismans, Y. & Wang, Z. B. (submitted). Modelling sand-mud interaction.

I. Surname1*, F.N. Another-Surname2 , Y. Next-Surname2

1 University Name, Country; 2 Organization Name, Country

* Corresponding author: mail.name@organization.org