Netherlands Centre for Coastal Research

BoA-2021

W.M. van der Sande1*, P.C. Roos2, T. Gerkema3, S.J.M.H. Hulscher4

1 University of Twente, This email address is being protected from spambots. You need JavaScript enabled to view it.
2 University of Twente, This email address is being protected from spambots. You need JavaScript enabled to view it.
3 NIOZ, This email address is being protected from spambots. You need JavaScript enabled to view it.
4 University of Twente, This email address is being protected from spambots. You need JavaScript enabled to view it.

Introduction

Estuarine sand dunes are large-scale bedforms which are ubiquitous around the world. Their dimensions and dynamics are transitioning between those of marine sand waves and river dunes. Similarly, the driving mechanisms of estuarine sand dunes are a mixture of fluvial and marine hydrodynamic processes. Furthermore, there are also estuarine-specific processes that play a role, for instance the gravitational circulation. This residual circulation stems from the interaction between saltwater and freshwater, and it constitutes an upstream (landward) current near the bed, and a downstream (seaward) current near the water table. Here, we unravel the influence of the gravitational circulation on the migration of estuarine sand dunes.

Methods

We develop a process-based idealised model based on the shallow water equations which includes (a symmetric M2) tidal and river forcing, and a longitudinal salinity gradient which yields the gravitational circulation (figure 1a). Furthermore, we include a symmetric tide, and we neglect suspended sediment transport and the presence of cohesive sediments. Bed load sediment transport is modelled through a power law with a slope correction. With this model, we perform a linear stability analysis to find the mode that grows fastest from a flat bed (i.e. fastest growing mode, FGM) – which reveals the wavelength, growth rate and migration rate of the FGM.

Results

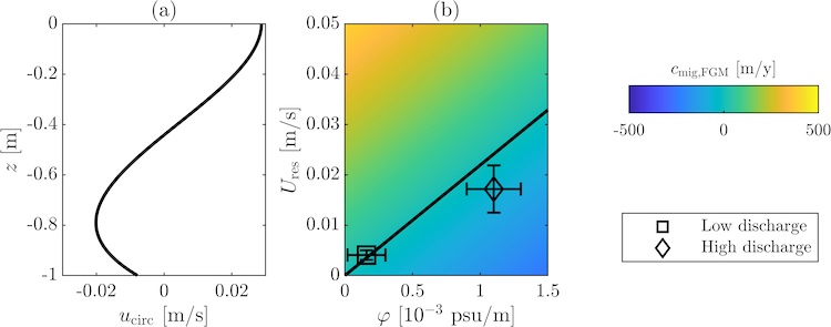
The wavelength and growth rate of the FGM are barely affected by the introduction of a longitudinal salinity gradient. Migration rate, however, shows large variations for changes in the salinity gradient. Figure 1b shows that migration direction reverses if the salinity gradient is strong and the residual river flow is weak. These results are in agreement with observations from the Gironde estuary (France), where Berné et al. (1993) found that the dunes reverse their lee sides to face the upstream direction (thus indicating upstream migration) during high discharge, which they attributed to the salinity field being pushed outward during high discharge, thereby increasing the salinity gradient at the sand wave field.

Dune migration in estuaries

Figure1: (a) residual circulation stemming from the longitudinal salinity gradient and (b) migration rates of the fastest growing mode (????,???), with the black line representing the zero migration contour, and the marker symbols showing representative discharge scenarios for the Gironde estuary.

Reference

Berné, S., Castaing, P., le Drezen, E., & Lericolais, G. (1993). Morphology, Internal Structure, and Reversal of Asymmetry of Large Subtidal Dunes in the Entrance to Gironde Estuary (France). Journal of Sedimentary Petrology, 63(5), 780–793. https://doi.org/10.1306/d4267c03-2b26-11d7-8648000102c1865d

I. Surname1*, F.N. Another-Surname2 , Y. Next-Surname2

1 University Name, Country; 2 Organization Name, Country

* Corresponding author: mail.name@organization.org